Furoin
| Furoin | |
|---|---|
![]() Strukturní vzorec | |
| Obecné | |
| Systematický název | 1,2-di(furan-2-yl)-2-hydroxyethan-1-on |
| Sumární vzorec | C10H8O4 |
| Identifikace | |
| Registrační číslo CAS | 552-86-3 |
| EC-no (EINECS/ELINCS/NLP) | 209-024-8 |
| PubChem | 11100 |
| SMILES | C1=COC(=C1)C(C(=O)C2=CC=CO2)O |
| InChI | InChI=1S/C10H8O4/c11-9(7-3-1-5-13-7)10(12)8-4-2-6-14-8/h1-6,9,11H |
| Vlastnosti | |
| Molární hmotnost | 192,17 g/mol |
| Teplota tání | 138 až 139 °C (411 až 412 K)[1] |
| Rozpustnost ve vodě | rozpustný v horké vodě[1] |
| Rozpustnost v polárních rozpouštědlech | rozpustný v methanolu a ethanolu[1] |
| Rozpustnost v nepolárních rozpouštědlech | rozpustný v diehyletheru[1] |
Některá data mohou pocházet z datové položky. | |
Furoin (systematický název 1,2-di(furan-2-yl)-2-hydroxyethanon) je organická sloučenina se vzorcem C10H8O4. Připravuje se z furfuralu benzoinovou kondenzací katalyzovanou kyanidovými ionty.[2]
Reakce
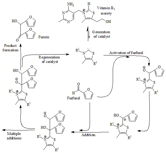
Syntézu furoinu z furfural může také katalyzovat vitamin B1 (thiamin); tuto variantu navrhl v roce 1957 Ronald Breslow jako reakci, při které vzniká poměrně stabilní karbenová forma thiaminu.[3][4]
V níže zobrazeném katalytickém cyklu reagují dvě molekuly furfuralu za vzniku furoinu, přičemž je použit thiazol-2-ylidenový katalyzátor, což vede ke ztrátě jednoho protonu na druhém uhlíku thiazoliových kationtů vitaminu B1:

Tato reakce byla prvním důkazem existence stabilních karbenů.
Použití
Furoin se používá jako plastifikátor.[2]
Reference
V tomto článku byl použit překlad textu z článku Furoin na anglické Wikipedii.
- ↑ a b c d https://pubchem.ncbi.nlm.nih.gov/compound/11100
- ↑ a b Denis Lorient (1999), New ingredients in food processing: biochemistry and agriculture. Woodhead Publishing ISBN 1-85573-443-5 366 pages
- ↑ Ronald Breslow. Mechanism of Thiamine Action: Participation of a Thiazolium Zwitterion. Chemistry and Industry. 1957, s. 893.
- ↑ R. Breslow. Rapid Deuterium Exchange in Thiazolium Salts. Journal of the American Chemical Society. 1957, s. 1762–1763. doi:10.1021/ja01564a064.
