Endiyny
Endiyny jsou organické sloučeniny obsahující dvě trojné a jednu dvojnou vazbu.
-
Obcený vzorec endiynu -
Kalicheamicin: protinádorové léčivo obsahující endiynovou skupinu
Některé endiyny se používají jako protinádorová léčiva;[1] vyvolávají apoptózu buněk, ovšem nemohou rozlišit nádorové buňky od zdravých - probíhá ale výzkum zaměřený na zlepšení specificity jejich toxicity.
Struktura a reaktivita
Devítičlenné či desetičlenné kruhy obsahující dvojnou vazbu mezi dvojicí trojných se označují jako hlavice endiynů; v základní podobě jsou hlavice neaktivní. Endiyny se dají aktivovat Bergmanovými nebo Myersovými-Saitoovými cyklizacemi.
Bergmanovy cyklizace mění struktury endiynových kruhů, když je přeměňují na dva menší kruhy. Z každé trojné vazby endiynu se přesune po jednom elektronu na sousední jednoduché vazby, čímž vzniknou dvě nové dvojné vazby. Současně s tím se použije další pár elektronů (jeden z každé alkynové skupiny) na vytvoření nové kovalentní vazby. Produktem spojení uvedených reakcí je 1,4-benzenoidový diradikál s kruhem obsahujícím zbývající atomy původního endiynu.

Na kruhy některých endiynů jsou navázané epoxidové skupiny, čímž se Bergmanovy cyklizace v důsledku sterického stínění stávají nevýhodnými. K provedení Bergmanových cyklizací je nutné tyto epoxidy odstranit.
Dalším způsobem aktivace endiynů je Myersova-Saitoova cyklizace, při níž se z hlavice endiynu stane diradikál. Při tomto mechanismu musí být alkenová skupina součástí dienového systému, s dvojnou vazbou ve vyměnitelné skupině. Dvojnou vazbu této skupiny atakuje nukleofil, čímž vyvolá posloupnost přesunů elektronů; jedna z trojných vazeb endiynu se přitom přemění na kumulenovou.[2] Kumulen a zbývající alkyn odevzdají po jednom elektronu a utvoří novou kovalentní vazbu.

Mechanismus účinku

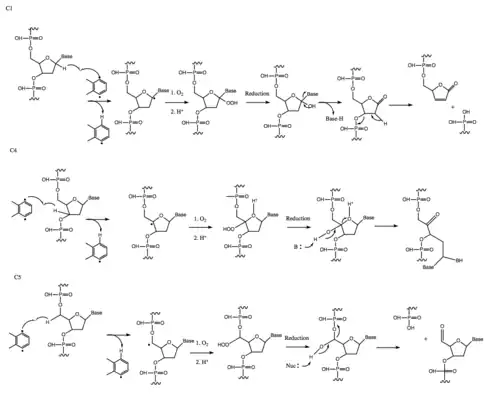
Cyklizace endiynových skupin vytvářejí 1,4-benzenoidové diradikály, které fungují jako nukleofily a atakují elektrofily za vzniku stálejších sloučenin. V organismech mohou reagovat s DNA za odštěpení dvou vodíků z opačných stran molekul sacharidů, což může proběhnout na C1, C4, nebo C5.[3] DNA radikály následně vytvářejí překřížené struktury nebo reagují s O2, a tím vyvolávají jedno- nebo oboustranné štěpení DNA.[4]
Biosyntéza
Endiynová skupina dodává látkám, které ji obsahují, významnou cytotoxicitu.[5]
Endiynové skupiny vznikají z lineárních, pravděpodobně polyketidových, prekurzorů obsahujících sedm nebo osm propojených acetátových jednotek. Enzymy účastnící se tvorby endiynů jsou polyketidsynázy (PKS) typu I.[6]
Sekvenováním endiynových genových clusterů bylo potvrzeno, že endiynová jádra vznikají z polyketidů, což pomohlo nalézt biosyntetické dráhy a mechanismy endiynů.[7]
Rozdíly v těchto biosyntetických drahách jsou způsobeny odlišnými způsoby tvorby -ynových skupin a také rozdílnými způsoby zapracovávání jednotlivých izotopů. Výraznější rozdíly jsou vyvolávány navázáním různých funkčních skupin na rozdílná místa endiynových hlavic. Těmito skupinami mohou být aryly nebo sacharidy; vliv mají také na navazování na DNA a rovněž ovlivňují fyzikální vlastnosti endiynových chromoforů.[5]
Cytotoxicita enediynových chromoforů vyžaduje, aby byla jejich biosyntéza přísně regulována, mechanismy této regulace jsou většinou neznámé. Organismy vytvářející endiyny se vůči jejich působení chrání sebezničujícími proteiny. Některé organismy používají CalC, kterým zachycují kalicheamicin a reaktivní diradikál odstraňuje vodíky z glycinu v řetězci proteinu, a ne z DNA.[5]
Rozdělení
Je známo 14 endiynů vyskytujících se v přírodě.[6] Několik dalších skupin bylo připraveno v laboratořích.
Endiyny se dělí na dvě podskupiny, podle toho, jestli mají 9členné nebo 10členné endiynové jádro:
Devítičlenné (chromoproteiny)
Devítičlenné endiyny se také označují jako chromoproteiny, protože mají na sebe navázané bílkoviny. Tyto bílkoviny jsou důležité pro transport a stabilizaci endiynových skupin.[8]
Neocarzinostatin
Neocarzinostatin je vytvářen balkterií Streptomyces carzinostaticus. Vytváří apoprotein se 113aminokyselinovým polypeptidem, který může štěpit histonový protein H1.[9]
Neocarzinostatin je příkladem endiynu aktivovaného Myersovou-Saitoovou cyklizací. Jeho analog SMANCS byl v Japonsku schválen pro léčení nádorů jater.[10]
C-1027
C-1027, známý také jako lidamycin, je jedním z proti nádorům nejúčinnějších endiynů. Poprvé byl izolován z bakterie Streptomyces globisporus. Na rozdíl od většiny ostatních endiynů není C-1027 aktivován tvorbou 1,4-benzenoidového diradikálu.[11] C-1027 vykazuje potenciální účinnost proti hypoxickým nádorům.[4]
Desetičlenné
Kalicheamiciny
Kalicheamiciny jsou skupinou endiynů izolovaných z bakterie Micromonospora echinospora calichensis.[12]
Kalicheamiciny vykazují silnou antimikrobiální aktivitu vůči grampozitivním i gramnegativním bakteriím.[12] Kalicheamicin γ1 je vysoce účinný in vivo proti buňkám leukémií a melanomů .[12] Kalicheamicinům se strukturou podobají esperamiciny.
Esperamiciny
Esperamiciny, poprvé izolované z Actinomadura verrucosospora, jsou jedněmi z nejúčinnějších známých protinádorových antibiotik.[13]
Do skupiny esperamicinů patří esperamicin A1, A1b, A2, A3, A4, B1, B2, a X. Esperamicin X je neaktivním esperamicinem vytvářeným v A. verrucosospora.[13] Aktivují se sloučeninami obsahujícími thiolové skupiny.[14]
Dynemiciny
Dynemicinové endiyny jsou vytvářeny v Micromonospora chersina;[8] první objevenou sloučeninou z této skupiny byl dynemicin A.[15]
Dynemiciny jsou fialové, protože mají na endiynová jádra navázané anthrachinonové skupiny.[8] Dynemyciny jsou obzvláště účinné vůči leukémiím a melanomům.[16]
Golfomycin A
Golfomycin A je syntetický endiyn vyvinutý za účelem snadnější výroby protinádorových léků.[17]
Štěpení DNA vyvolávané golfomycinem A je ovlivnitelné hodnotou pH.[17] In vitro studie ukázaly, že golfomycin A může tlumit nádory močového měchýře.[17]
Odkazy
Reference
V tomto článku byl použit překlad textu z článku Enediyne na anglické Wikipedii.
- ↑ K. C. Nicolaou; A. L. Smith; E. W. Yue. Chemistry and biology of natural and designed enediynes. Proceedings of the National Academy of Sciences of the United States of America. 1993, s. 5881–5888. doi:10.1073/pnas.90.13.5881. PMID 8327459. Bibcode 1993PNAS...90.5881N.
- ↑ Bergman Cyclization [online]. [cit. 2018-05-05]. Dostupné online.
- ↑ A. L. Smith; K. C. Nicolaou. The enediyne antibiotics. Journal of Medicinal Chemistry. 1996, s. 2103–2117. doi:10.1021/jm9600398. PMID 8667354.
- ↑ a b Y. Chen; M. Yin; G. P. Horsman; B. Shen. Improvement of the enediyne antitumor antibiotic C-1027 production by manipulating its biosynthetic pathway regulation in Streptomyces globisporus. Journal of Natural Products. 2011, s. 420–424. doi:10.1021/np100825y. PMID 21250756.
- ↑ a b c Z. X. Liang. Complexity and simplicity in the biosynthesis of enediyne natural products. Natural Product Reports. 2010, s. 499–528. doi:10.1039/b908165h. PMID 20336235.
- ↑ a b B. Shen, X. Yan, T. Huang, H. Ge, D. Yang, Q. Teng, J. D. Rudolf, J. R. Lohman. Enediynes: Exploration of microbial genomics to discover new anticancer drug leads. Bioorganic & Medicinal Chemistry Letters. 2015, s. 9–15. doi:10.1016/j.bmcl.2014.11.019. PMID 25434000.
- ↑ S. G. Van Lanen; B. Shen. Biosynthesis of enediyne antitumor antibiotics. Current Topics in Medicinal Chemistry. 2008, s. 448–459. doi:10.2174/156802608783955656. PMID 18397168.
- ↑ a b c Q. Gao; J. S. Thorson. The biosynthetic genes encoding for the production of the dynemicin enediyne core in Micromonospora chersina ATCC53710. FEMS Microbiology Letters. 2008, s. 105–114. doi:10.1111/j.1574-6968.2008.01112.x. PMID 18328078.
- ↑ B. Heyd; G. Lerat; E. Adjadj; P. Minard; M. Desmadril. Reinvestigation of the proteolytic activity of neocarzinostatin. Journal of Bacteriology. 2000, s. 1812–1818. doi:10.1128/jb.182.7.1812-1818.2000. PMID 10714984.
- ↑ H. Maeda. SMANCS and polymer-conjugated macromolecular drugs: advantages in cancer chemotherapy. Advanced Drug Delivery Reviews. 2001, s. 169–185. doi:10.1016/s0169-409x(00)00134-4. PMID 11259839.
- ↑ Y. J. Xu; Y. S. Zhen; I. H. Goldberg. C1027 chromophore, a potent new enediyne antitumor antibiotic, induces sequence-specific double-strand DNA cleavage. Biochemistry. 1994, s. 5947–5954. doi:10.1021/bi00185a036. PMID 8180224.
- ↑ a b c W. M. Maiese, M. P. Lechevalier, H. A. Lechevalier, J. Korshalla, N. Kuck, A. Fantini, M. J. Wildey, J. Thomas, M. Greenstein. Calicheamicins, a novel family of antitumor antibiotics: taxonomy, fermentation and biological properties. The Journal of Antibiotics. 1989, s. 558–563. doi:10.7164/antibiotics.42.558. PMID 2722671.
- ↑ a b Jerzy Golik, Jon Clardy, George Dubay, Gary Groenewold, Hiroshi Kawaguchi, Masataka Konishi, Bala Krishnan, Hiroaki Ohkuma, Kyoichiro Saitoh. Esperamicins, a novel class of potent antitumor antibiotics. 2. Structure of esperamicin X. Journal of the American Chemical Society. 1987, s. 3461–3462. ISSN 0002-7863. doi:10.1021/ja00245a048.
- ↑ Y. Sugiura; Y. Uesawa; Y. Takahashi; J. Kuwahara; J. Golik; T. W. Doyle. Nucleotide-specific cleavage and minor-groove interaction of DNA with esperamicin antitumor antibiotics. Proceedings of the National Academy of Sciences of the United States of America. 1989, s. 7672–7676. doi:10.1073/pnas.86.20.7672. Bibcode 1989PNAS...86.7672S.
- ↑ M. Konishi, H. Ohkuma, K. Matsumoto, T. Tsuno, H. Kamei, T. Miyaki, T. Oki, H. Kawaguchi, G. D. VanDuyne, J. Clardy. Dynemicin A, a novel antibiotic with the anthraquinone and 1,5-diyn-3-ene subunit. The Journal of Antibiotics. 1989, s. 1449–1452. doi:10.7164/antibiotics.42.1449. PMID 2793600.
- ↑ R. Unno, H. Michishita, H. Inagaki, Y. Suzuki, Y. Baba, T. Jomori, T. Nishikawa, M. Isobe. Synthesis and antitumor activity of water-soluble enediyne compounds related to dynemicin A. Bioorganic & Medicinal Chemistry. 1997, s. 987–999. doi:10.1016/s0968-0896(97)00037-0. PMID 9208107.
- ↑ a b c K. C. Nicolaou; Golfo Skokotas; S. Furuya; H. Suemune; D. Colette Nicolaou. Golfomycin A, a Novel Designed Molecule with DNA-Cleaving Properties and Antitumor Activity. Angewandte Chemie International Edition in English. 1990, s. 1064–1067. ISSN 0570-0833. doi:10.1002/anie.199010641.
Související články
Externí odkazy
Obrázky, zvuky či videa k tématu Endiyny na Wikimedia Commons