Elektronová hustota
Elektronová hustota je míra pravděpodobnosti výskytu elektronu v infinitezimálně velkém prostoru obklopujícím daný bod. Jedná se o skalární veličinu závislou na třech proměnných, značenou obvykle nebo . Hustota je určena jako normalizovaná vlnová funkce elektronu , která závisí na ( prostorových a spinových) souřadnicích. Elektronová hustota je formálním základem teorie funkcionálu hustoty.
V důsledku uplatňování principu neurčitosti na atomární úrovni nelze určit přesnou polohu elektronu, pouze pravděpodobnost jeho výskytu na daném místě; elektrony v atomech a molekulách tak vypadají jako „rozprostřené“. U jednoelektronových systémů je elektronová hustota v libovolném bodě přímo úměrná druhé mocnině velikosti jeho vlnové funkce.
Definice
Elektronová hustota odpovídá normalizované vlnové funkci elektronů, (kde je prostorová a spinová proměnná) a definuje se jako:[1]
kde operátor odpovídající pozorované hustotě je:
Spočítáním lze rovnici zjednodušit:
Při udržení jednoho elektronu v poloze se sčítá přes všechna možná uspořádání ostatních elektronů. Faktor N označuje, že jednotlivé elektrony od sebe nelze odlišit, a tak všechny integrály mají stejnou hodnotu.
V Hartreeově–Fockově metodě a teorii funkcionálu hustoty je vlnová funkce reprezentována Slaterovým determinantem orbitalů, , se zaplněními . V takovém případě se hustota zjednoduší na:
Vlastnosti
Podle definice je elektronová hustota nezápornou funkcí integrovanou přes celkový počet elektronů. V soustavě s kinetickou energií T hustota splňuje nerovnice[2]
U konečných kinetických energií první (silnější) nerovnice umisťuje druhou odmocninu hustoty do Sobolevova prostoru ; společně s normalizováním a nezáporností je takto definován prostor obsahující přípustné hustoty jako:
Druhá nerovnice umisťuje hustotu do L3 prostoru. Přípustné hustoty se nacházejí na průsečíku L1 a L3 – což je nadmnožina .
Topologie
Základní stav elektronové hustoty atomu je pravděpodobně monotónní funkcí vzdálenosti od jádra.[3]
Asymptoticita
Chování blízkojaderné hustoty () je popsáno takto:
Dlouhodobé (large ) chování hustoty odpovídá rovnici:[4]
kde I je ionizační energie soustavy.
Obecné vlastnosti
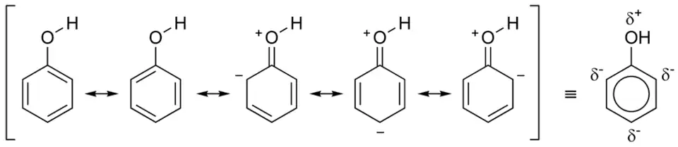
V molekulách bývá největší elektronová hustota kolem atomů a vazeb. U delokalizovaných nebo konjugovaných systémů, jaké mají například fenol a benzen či hemoglobin a chlorofyl, je elektronová hustota vysoká po celé struktuře, například v benzenu je rozprostřena nad a pod rovinným jádrem; tato skutečnost se často zobrazuje pomocí střídání jednoduchých a dvojných vazeb; u aromatických sloučenin se delokalizace zobrazuje kruhem uvnitř (nejčastěji šestiúhelníkového) jádra:

U sloučenin obsahujících více propojených kruhů není zobrazení pomocí kruhu přesné a používají se tak střídající se jednoduché a dvojné vazby. Delokalizace v místech s vyšší elektronovou hustotou v sousedství jednoduchých vazeb může být znázorněna tečkovanou nebo čárkovanou čarou.[5] Konjugované systémy mohou pohlcovat elektromagnetické záření různých vlnových délek a tím sloučeninám dodávat barevnost; u polymerů se takové oblasti označují jako chromofory.
V kvantových výpočtech je elektronová hustota, ρ(r), funkcí souřadnic r, definovaných tak, že ρ(r)dr je počet elektronů v malém objemu dr. U molekul s uzavřenými slupkami ji lze zapsat jako součet součinů bázových funkcí, φ:
kde P je operátor hustoty. Elektronové hustoty se popisují pomocí isopovrchů (povrchů isohustoty) s velikostmi a tvary povrchů, určovaných zvolenými hodnotami hustoty, nebo procentuálním zastoupením obsažených elektronů.
Elektronové hustoty lze zobrazit graficky s využitím programů na modelování molekul. Grafické modely elektronové hustoty jsou používané jako součásti chemického vzdělávání.[6]
Na obrázku elektronových hustot anilinu jsou vidět vysoké elektronové hustoty v okolí atomů uhlíku a dusíku, ale vodíky, obsahující ve svých jádrech vždy jen jeden proton, vidět nejsou; z tohoto důvodu se jejich polohy rentgenovou difrakcí určují obtížně.
Většina programů na modelování molekul umožňuje výběr hodnot elektronové hustoty, označovaných jako isohodnoty. V některých[7] je také možné vybrat elektronovou hustotu v podobě procent obsažených elektronů. V závislosti na izohodnotách (obvyklou jednotkou je elektron na krychlový bohr) nebo procentu elektronů je možné určovat polohy atomů, zvýrazňovat hustoty související s chemickými vazbami, či zjišťovat velikosti a tvary molekul.[8]
Grafické zobrazení elektronové hustoty se také používá ke znázorňování ostatních elektronových vlastností. Mapy elektronových potenciálů (vlastností elektrických potenciálů zjišťovaných na základě elektronových hustot) se dají použít jako indikátory rozdělení náboje v molekule. Potenciálové mapy lokální ionizace (vlastností lokálních ionizačních potenciálů) na základě elektronové hustoty mohou sloužit ke zkoumání elektrofility molekul a jejich částí. Mapy LUMO (nejnižších neobsazených molekulových orbitalů) podle elektronové hustoty jsou oproti tomu indikátory nukleofility.[9]
Experimenty
K měření elektronové hustoty je možné použít několik experimentálních postupů, jako ke kvantová krystalografie prostřednictvím rentgenové difrakce, kde se používá rentgenové záření o vhodné vlnové délce, jež je namířeno na vzorek a průběžně se provádějí měření; tato metoda poskytuje proavděpodobnodsti výskytu elektronů na různých místech. U krystalických látek lze často zjistit strukturu molekul a rozdělení hustoty náboje. Kvantová elektrodynamika a některá odvětví kvantové teorie pole zkoumají superpozice elektronů a jiné podobné jevy, jako je index nekovalentních interakcí, který umožňuje zkoumat nekovalentní interakce pomocí elektronové hustoty. Mullikenova populační analýza, využívá elektronovou hustotu mezi atomy k odhadování jejich nábojů.
V transmisní elektronové mikroskopii (TEM) interagují vysokoenergetické elektrony s elektronovými oblaky, čímž dochází k přímému zobrazení elektronové hustoty. TEM, řádkovací tunelová mikroskopie a mikroskopii atomových sil lze použít na měření elektronových hustot jednotlivých atomů.[zdroj?]
Spinová hustota
Spinová hustota je elektronová hustota u radikálů. Definuje se jako celková hustota elektronů jednoho spinu minus celková hustota elektronů druhého spinu. Změřit ji lze elektronovou spinovou rezonancí[10] nebo neutronovou difrakcí; druhý postup poskytuje přímé mapování spinové hustoty v prostoru.
Odkazy
Reference
V tomto článku byl použit překlad textu z článku Electron density na anglické Wikipedii.
- ↑ Robert G. Parr; Weitao Yang. Density-Functional Theory of Atoms and Molecules. New York: Oxford University Press, 1989. Dostupné online. ISBN 978-0-19-509276-9.
- ↑ Elliott H. Lieb. Density functionals for coulomb systems. International Journal of Quantum Chemistry. 1983, s. 243–277. doi:10.1002/qua.560240302.
- ↑ Paul W. Ayers; Robert G. Parr. Sufficient condition for monotonic electron density decay in many-electron systems. International Journal of Quantum Chemistry. 2003, s. 877–881. doi:10.1002/qua.10622.
- ↑ Marilyn M. Morrell; Robert G. Parr; Mel Levy. Calculation of ionization potentials from density matrices and natural functions, and the long-range behavior of natural orbitals and electron density. Journal of Chemical Physics. 1975, s. 549–554. doi:10.1063/1.430509. Bibcode 1975JChPh..62..549M.
- ↑ Chlorophylls and Carotenoids. users.rcn.com [online]. [cit. 2023-01-20]. Dostupné v archivu pořízeném z originálu dne 2017-08-09.
- ↑ Alan J. Shusterman; Gwendolyn P. Shusterman. Teaching Chemistry with Electron Density Models. The Journal of Chemical Education. 1997, s. 771–775. doi:10.1021/ed074p771. Bibcode 1997JChEd..74..771S.
- ↑ [1]
- ↑ Warren J. Hehre; Alan J. Shusterman; Janet E. Nelson. The Molecular Modeling Workbook for Organic Chemistry. Irvine, California: Wavefunction, 1998. Dostupné online. ISBN 978-1-890661-18-2. S. 61–86.
- ↑ Warren J. Hehre. A Guide to Molecular Mechanics and Quantum Chemical Calculations. Irvine, California: Wavefunction, 2003. Dostupné online. ISBN 978-1-890661-06-9. S. 85–100.
- ↑ The IUPAC Compendium of Chemical Terminology: The Gold Book. Příprava vydání Victor Gold. 4. vyd. Research Triangle Park, NC: International Union of Pure and Applied Chemistry (IUPAC) Dostupné online. doi:10.1351/goldbook.s05864. (anglicky) DOI: 10.1351/goldbook.
Související články
- Elektronová konfigurace
- Rozlišení (elektronová hustota)
- Hustota náboje
- Teorie funkcionálu hustoty
- Tok pravděpodobnosti