Divinylcyklopropan-cykloheptadienový přesmyk
Divinylcyklopropan-cykloheptadienový přesmyk je organická reakce spočívající v izomerizaci 1,2-divinylcyklopropanu na cykloheptadien nebo cykloheptatrien, podobná Copeovu přesmyku.[1]
V roce 1960 bylo zjištěno, že 1,2-divinylcyklopropan se přesmykuje na cyklohepta-1,4-dien.[2] Po objevu této reakce proběhlo několik mechanistických zkoumání, navazujících na zjištění, že je reakce strukturně a mechanisticky podobná přesmyku vinylcyklopropanu na cyklopenten. V 70. letech 20. století začala být tato reakce synteticky využívána[3] a je užitečná na přípravu sedmičlenných kruhů; jsou také známy varianty využívající heteroatomy.
(1)

Výhodami jsou často samovolný průběh bez nutnosti katalyzátoru a nízký podíl vedlejších reakcí (za nepřítomnosti heteroatomů v řetězcích). K nevýhodám patří potřeba přesné konfigurace výchozích látek, kdy trans-divinylcyklopropany často vyžadují k provedení přesmyku izomerizaci zahřátím. Přesmyky zahrnující heteroatomy mívají v důsledku vedlejších reakcí nižší výtěžnosti.
Mechanismus a stereochemie
Převažující mechanismus
Hlavním předmětem sporů ohledně tohoto přesmyku je, zda probíhá soustředěným (sigmatropním) nebo postupným (diradikálovým) mechanismem. Mechanistické experimenty naznačují, že trans-divinylcyklopropany se epimerizují ma odpovídající cis-izomery a přesmyk u nich pravděpodobně probíhá soustředěně.[4][5] Navržený přechodný stav má lodičkovou konformaci, která vysvětluje stereospecifitu reakce. Zda úvodní epimerizace trans-substrátů probíhá s jedním, nebo dvěma centry, je většinou nejasné.
(2)

Jsou známy varianty katalyzované přechodnými kovy, kde se vyskytují různé mechanismy. Při reakci využívající bis(ethylen)-hexafluoracetylacetonát rhodia koordinace a tvorba bis-π-allylového komplexu probíhají před elektrocyklickým uzavíráním kruhu a uvolněním katalyzátoru.[6]
(3)

Stereoselektivní provedení
Reakce divinylcyklopropanů obsahujících substituované dvojné vazby jsou stereospecifické vůči konfiguracím na dvojných vazbách — cis,cis-izomery dávají vzniknout cis-produktům, zatímco z cis,trans-izomerů se tvoří trans.produkty. Při použití neracemických výchozích látek tak vznikají chirální sloučeniny, a to bez ztráty enantiomerní čistoty.[7]
(4)

Rozsah a omezení
Při této reakci lze použít široké spektrum divinylcyklopropanů. Tyto látky lze získat různými postupy, například adičními reakcemi cyklopropylových nukleofilů (lithných[8] nebo měďnatých[9]), které aktivují dvojné či trojné vazby, po kterých následují eliminace bis(2-haloethyl)cyklopropanů[10] a cyklopropanace.[11]
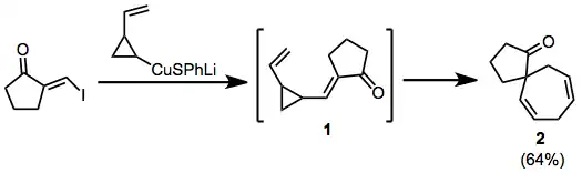
V níže uvedeném případě se adicí-eliminací za přítomnosti sloučeniny mědi vytvoří enon 1, jenž se přesmykuje na spirocyklický meziprodukt 2;
(5)

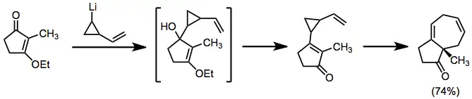
k cyklopropanacím lze použít i organolithné sloučeniny, které se ale na karbonyly navazují přímo, přičemž vytváří produkty s kondenzovanými kruhy.[8]
(6)

Po eliminacích ditosylátů nastávají přesmyky; vzniklé chlorované cykloheptadieny se tak izomerizují na konjugované heptadieny 3.[10]
(7)

Cyklopropanace konjugovaných diazosloučenin vytvářejí divinylcyklopropany, následně se přesmykující. Při použití cyklických substrátů vznikají můstkové molekuly.[12]
(8)

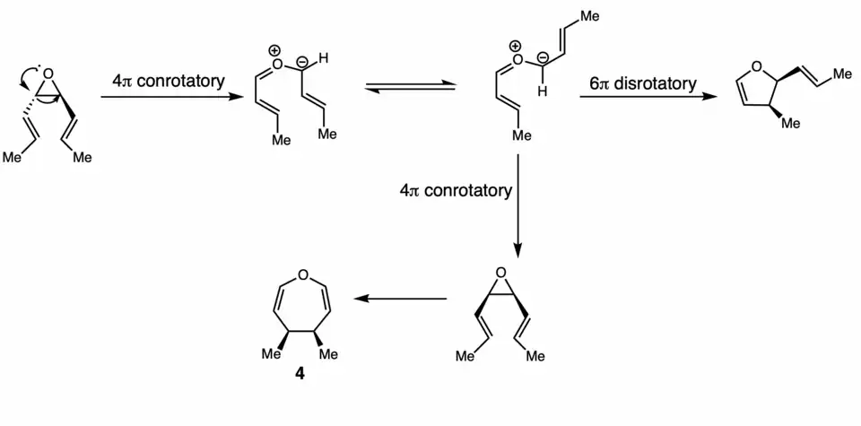
Do těchto reakcí je možné zapojit také substráty se tříčlennými heterocykly. cis-Divinylepoxidy za teplot kolem 100 °C poskytují oxepiny, u jejich trans-izomerů se také objevují přesmyky na dihydrofurany přes karbonylylidy;[13] tytéž ylidy byly také navrženy jako přímé prekurzory oxepinů 4.[14] Konjugované dienylepoxidy dávají vzniknout podobným produktům, což podporuje předpoklady o ylidových meziproduktech.[15]
(9)

Divinylované aziridiny reagují obdobně a v závislosti na relativní konfiguraci výchozích látek tvoří azepiny nebo vinylované pyrroliny.[16] Divinylthiirany lze použít na tvorbu thiepinů nebo dihydrothiofenů, jejich reakce jsou ale pomalejší než u odpovídajících dusíkatých a kyslíkatých heterocyklů.
Využití
První přípravu cykloheptadienu přesmykem divinylcyklopropanu provedl Adolf von Baeyer během syntézy eukarvonu z karvonhydrobromidu.[17] Mechanistickými studiemi bylo zjištěno, že tato varianta přesmyku probíhá soustředěným mechanismem Copeova typu.[18]
(10)

Při Eschenmoserově syntéze kolchicinu byl přesmyk tohoto druhu použit k vytvoření sedmičlenného kruhu cílové molekuly.[19]
(11)

Při syntéze racemického sireninu se potřebný divinylcyklopropan vytváří Wittigovou reakcí; cílová molekula poté vzniká hydrogenací produktu přesmyku.[20]
(12)

Provedení
Reakční podmínky
Divinylcyklopropan-cykloheptadienový přesmyk se obvykle provádí ihned po vytvoření divinylcyklopropanu, ve stejné nádobě. V některých případech, hlavně u trans-substrátů, které se z většiny před přesmykem epimerizují, je třeba reakční směs zahřívat.
Příklad
(13)

Do chladného (–78 °C) míchaného roztoku diisopropylamidu lithného (1,4–1,5 mmol/mmol ketonu) v suchém tetrahydrofuranu (4 ml/mmol zásady) v argonové atmosféře se pomalu přidává roztok n-butyl-trans-2-vinylcyklopropylketonu (1,19 mmol) v suchém tetrahydrofuranu (1 ml/mmol ketonu) a vzniklý roztok se míchá 45 minut při –78 °C. Poté se přidá roztok právě vysublimovaného terc-butyldimethylsilylchloridu (1,6 mmol/mmol ketonu) v suchém tetrahydrofuranu (1 ml/mmol chloridu) a suchý hexamethylfosforamid (0,5 mL/mmol ketonu). Následně se roztok míchá 15 minut při –78 °C a poté 2–3 hodiny za pokojové teploty. Následuje vytřepávání mezi nasyceným vodným roztokem hydrogenuhličitanu sodného (10 ml/mmol ketonu) a pentanem (20 mL/mmol ketonu). Vodná fáze se dvakrát promyje pentanem. Vzniklý extrakt se čtyřikrát promyje nasyceným vodným roztokem shydrogenuhličitanu sodného a dvakrát solankou, po čemž se vysuší pomocí pomocí síranu hořečnatého. Po odstranění rozpouštědla následuje destilace zbývajícího oleje, čímž vzniká příslušný silylenolether v podobě bezbarvého oleje. Poté se provede tepelný rozklad silylenoletheru zahříváním v argonové atmosféře na 230 °C po 30–60 minut. Destilací vzniklého materiálu (140–150 °C/1,6 kPa) vzniká cykloheptadien s 85% výtěžností.[21]
Reference
V tomto článku byl použit překlad textu z článku Divinylcyclopropane-cycloheptadiene rearrangement na anglické Wikipedii.
- ↑ Hudlicky, T.; Fan, R.; Reed, J. W.; Gadamasetti, K. G. Organic Reactions 1992, 41, 1-133. doi:10.1002/0471264180.or041.01
- ↑ Vogel, E. Angewandte Chemie 1960, 72, 4
- ↑ Wender, P. A.; Eissenstat, M. A.; Filosa, M. P. Journal of the American Chemical Society 1979, 101, 2196
- ↑ Arai, M.; Crawford, R. J. Canadian Journal of Chemistry 1972, 50, 2158
- ↑ Baldwin, J. E.; Fleming, R. H.Journal of the American Chemical Society 1973, 95, 5256
- ↑ Alcock, N. W.; Brown, J. M.; Conneely, J. A.; Stofko, Jr., J. J. Journal of the Chemical Society, Chemical Communications, 1975, 234
- ↑ Brule, D.; Chalchat, J. C.; Vessiere, R. Bulletin de la Société Chimique de France 1978, II-385
- ↑ a b Wender, P. A.; Filosa, M. P. The Journal of Organic Chemistry 1976, 41, 3490
- ↑ Marino, J. P.; Browne, L. J. Tetrahedron Letters 1976, 3245
- ↑ a b Muller, P.; Rey, M. Helvetica Chimica Acta, 1982, 65, 1191
- ↑ Hudlicky, T.; Rulin, F.; Lovelace, T.; Reed, J. W. in Studies in Natural Product Chemistry, Atta-ur-Rahman, Ed., Elsevier, Amsterdam, 1989, Part B, p. 3
- ↑ Davies, H. M. L.; Clark, D. M.; Smith, T. K. Tetrahedron Letters 1985, 26, 5659
- ↑ Pommelet, J. C.; Manisse, N.; Chuche, J. Tetrahedron, 1972, 28, 3929
- ↑ Braun, R. A. The Journal of Organic Chemistry 1963, 28, 1383
- ↑ Eberbach, W.; Roser, J. Tetrahedron Letters 1987, 28, 2685
- ↑ Manisse, N.; Chuche, J. Tetrahedron, 1977, 33, 2399
- ↑ Baeyer, A. Berichte der Deutschen Chemischen Gesellschaft 1894, 27, 810; ibid. 1898, 31, 2067
- ↑ Vogel, E.; Ott, K.-H.; Gajek, K. Justus Liebig's Annalen der Chemie 1961, 644, 172
- ↑ Schreiber, von J.; Leimgruber, W.; Pesaro, M.; Schudel, P.; Threlfall, T.; Eschenmoser, A. Helvetica Chimica Acta 1961, 44, 540
- ↑ Jaenicke, L.; Akintobi, T.; Muller, D. G. Angewandte Chemie International Edition in English 1971, 10, 492
- ↑ Piers, E.; Burmeister, M. S.; Reissig, H. U. Canadian Journal of Chemistry 1986, 64, 180