Difosfor
| Difosfor | |
|---|---|
![]() Strukturní vzorec | |
![]() Model molekuly | |
| Obecné | |
| Systematický název | difosfor |
| Ostatní názvy | difosfyn |
| Sumární vzorec | P2 |
| Identifikace | |
| Registrační číslo CAS | 12185-09-0 |
| PubChem | 5460700 |
| ChEBI | 33472 |
| SMILES | P#P |
| InChI | InChI=1S/P2/c1 |
| Vlastnosti | |
| Molární hmotnost | 61,948 g/mol |
Některá data mohou pocházet z datové položky. | |
Difosfor je alotrop fosforu se vzorcem P2. Na rozdíl od dusíku, lehčího prvku 15. skupiny, jenž vytváří stálou molekulu N2, s trojnou vazbou mezi atomy, se fosfor častěji vyskytuje jako tetraedrický P4, protože vazby pí mezi atomy P mají nízkou energii; difosfor je tak značně reaktivní, s disociační energií vazeb 490 kJ/mol, dvakrát menší než u didusíku. Délka vazby v P2 je 189,34 pm.[1]
Příprava
Difosfor se připravuje zahříváním bílého fosforu na teplotu 1100 K; dvouatomové molekuly fosforu ale byly vytvořeny také v homogenních prostředích za normálních podmínek pomocí komplexů některých přechodných kovů (wolframu a niobu).[2]
Byly také navrženy postupy založené na disociaci vazeb v molekulách P4 prostřednictvím fotoexcitace.[3]
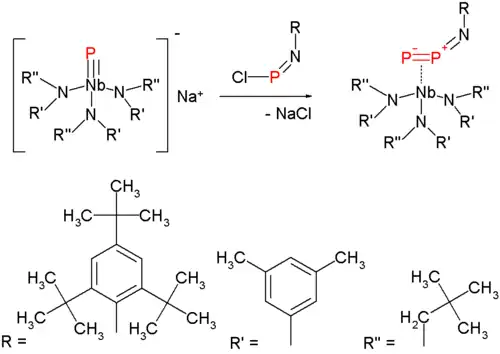
V roce 2006 byl popsán nový způsob přípravy za nižších teplot reakcí odpovídající odštěpení dusíku v organoazidech za vzniku nitrenů.[2] Prekurzor difosforu se připravuje reakcí koncového fosfidu niobu s chloriminofosfanem:
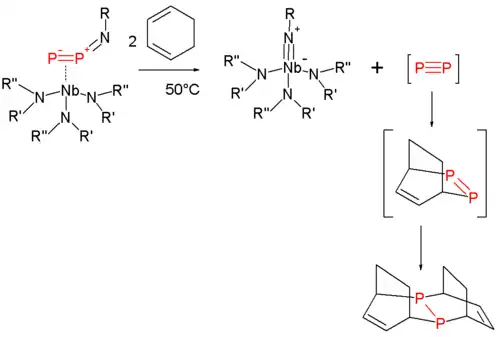
Zahřívání této sloučeniny při 50 °C v cyklohexa-1,3-dienu, sloužícím jako rozpouštědlo a zachycovací činidlo, vede k oddělení difosforu, z něhož se poté vytvoří produkt dvojnásobné Dielsovy–Alderovy reakce a imidosloučenina niobu:
Stejná imidosloučenina se vytváří také při termolýze v toluenu, kde ale výsledek reakce difosforu není znám.
P2 je předpokládaným meziproduktem fotolýzy P4.[4]
Byla též popsána tvorba difosforu z bisantracenového aduktu[5] a příprava stabilizovaného kationtu HP +
2 [6]
Odkazy
Reference
V tomto článku byl použit překlad textu z článku Diphosphorus na anglické Wikipedii.
- ↑ K. P. Huber; G. Herzberg. Molecular Spectra and Molecular Structure IV. Constants of Diatomic Molecules. [s.l.]: [s.n.], 1979. ISBN 978-0442233945.
- ↑ a b Nicholas A. Piro; Joshua S. Figueroa; Jessica T. McKellar; Christopher C. Cumnins. Triple-Bond Reactivity of Diphosphorus Molecules. Science. 2006, s. 1276–1279. doi:10.1126/science.1129630. PMID 16946068. Bibcode 2006Sci...313.1276P.
- ↑ Lee-Ping Wangb; Daniel Tofana; Jiahao Chena; Troy Van Voorhisa; Christopher C. Cummins. A pathway to diphosphorus from the dissociation of photoexcited tetraphosphorus. RSC Advances. 2013, s. 23166. Dostupné online. doi:10.1039/C3RA43940B. Bibcode 2013RSCAd...323166W.
- ↑ G. Rathenau. Optische und photochemische versuche mit phosphor. Physica. 1937, s. 503–514. doi:10.1016/S0031-8914(37)80084-1. Bibcode 1937Phy.....4..503R.
- ↑ A Retro Diels–Alder Route to Diphosphorus Chemistry: Molecular Precursor Synthesis, Kinetics of P2 Transfer to 1,3-Dienes, and Detection of P2 by Molecular Beam Mass Spectrometry Alexandra Velian, Matthew Nava, Manuel Temprado, Yan Zhou, Robert W. Field, Christopher C. Cummins Journal of the American Chemical Society 2014 136 (39), 13586-13589 doi:10.1021/ja507922x
- ↑ Protonation of carbene-stabilized diphosphorus: complexation of HP2+ Yuzhong Wang, Hunter P. Hickox, Yaoming Xie, Pingrong Wei, Dongtao Cui, Melody R. Walter, Henry F. Schaefer, Gregory H. Robinson Chemical Communications, 2016, doi:10.1039/C6CC01759B
Externí odkazy
Obrázky, zvuky či videa k tématu difosfor na Wikimedia Commons



