DeMayova reakce
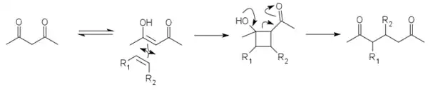
DeMayova reakce je fotochemická reakce, při níž enol 1,3-diketonu reaguje s alkenem (nebo jinou sloučeninou s dvojnou vazbou mezi uhlíkovými atomy) a vzniklý cyklobutanový kruh podstupuje retro-aldolovou reakci za tvorby 1,5-diketonu.[1]
Vložení svou uhlíků vazby C=C mezi dvě karbonylové skupiny může být využito v organické syntéze jako poměrně selektivní způsob spojení svou částí molekuly a způsob využití chemie 1,3-diketonů k přípravě 1,5-diketonů. Prvním krokem procesu je [2+2] cykloadice. Následná retro-aldolová reakce je usnadněna nízkou stabilitou cyklobutanového kruhu.
|
| Animace mechanismu DeMayovy reakce |
Reference
V tomto článku byl použit překlad textu z článku DeMayo reaction na anglické Wikipedii.
- ↑ Jie Jack Li. Name reactions : a collection of detailed mechanisms and synthetic applications. [s.l.]: [s.n.], 2010. (5). Dostupné online. ISBN 978-1-891389-53-5. OCLC 870309747
Externí odkazy
Obrázky, zvuky či videa k tématu DeMayova reakce na Wikimedia Commons
Portály: Chemie
