Dakinova–Westova reakce
Dakinova–Westova reakce je chemická reakce přeměňující aminokyseliny na amidy ketokyselin pomocí acylanhydridů a zásad, jako je pyridin.[1][2][3][4][5]
Objevili ji Henry Drysdale Dakin a Randolph West roku 1928. V roce 2016 byla popsána její první asymetrická varianta, využívající jako katalyzátory krátké oligopeptidy.[6]

Při použití pyridinu jako zásady i rozpouštědla je nutné refluxování,[7] po přidání 4-dimethylaminopyridinu jako katalyzátoru lze ale reakci provést i za pokojové teploty.[8]
V některých případech lze tuto reakci provést i při navázání aminové skupiny v jiné poloze než α.
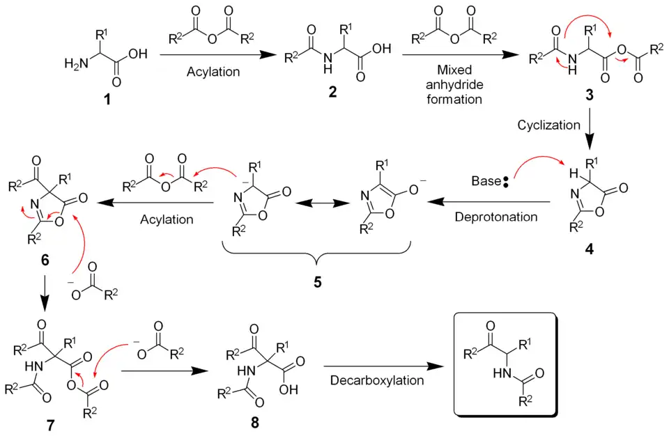
Mechanismus
Dakinova–Westova reakce začíná acylací a aktivací kyseliny 1 za vzniku smíšeného anhydridu 3, který cyklizační reakcí s amidem, sloužícím jako nukleofil, vytvoří oxazolon 4. Deprotonací a acylací oxazolonu se vytvoří nová vazba uhlík–uhlík. Následné otevírání kruhu sloučeniny 6 a dekarboxylace vedou ke konečnému ketoamidovému produktu.[9][10]

Využití k přípravě ketonů
Moderní varianty Dakinovy–Westovy reakce umožňují zpracovávat mnoho enolizovatelných karboxylových kyselin – ne jenom aminokyseliny – a přeměnit je na odpovídající methylketony. Jako příklad může sloužit tvorba β-arylketonů z β-arylkarboxylových kyselin pomocí roztoků kyselin v acetanhydridu za přítomnosti N-methylimidazolu; při těchto reakcích se vytváří acetylimidazoliové ionty, sloužící jako silná kationtová acetylační činidla.[11]

Odkazy
Reference
V tomto článku byl použit překlad textu z článku Dakin–West reaction na anglické Wikipedii.
- ↑ Henry Drysdale Dakin; Randolph West. A General Reaction of Amino Acids. The Journal of Biological Chemistry. 1928, s. 91–104. Dostupné online. doi:10.1016/S0021-9258(18)84021-2.
- ↑ Henry Drysdale Dakin; Randolph West. A General Reaction of Amino Acids II. The Journal of Biological Chemistry. 1928, s. 745–756. Dostupné online. doi:10.1016/S0021-9258(18)83978-3.
- ↑ Henry Drysdale Dakin; Randolph West. Some Aromatic Derivatives of Substituted Acetylaminoacetones. The Journal of Biological Chemistry. 1928, s. 757–764. Dostupné online. doi:10.1016/S0021-9258(18)83979-5.
- ↑ Richard H. Wiley. The Conversion of Amino Acids to Oxazoles. The Journal of Organic Chemistry. 1947, s. 43–46. doi:10.1021/jo01165a006. PMID 20280736.
- ↑ G. L. Buchanan. The Dakin–West reaction. Chemical Society Reviews. 1988, s. 91–109. doi:10.1039/CS9881700091.
- ↑ Raffael C. Wende; Alexander Seitz; Dominik Niedek; Sören M. M. Schuler; Christine Hofmann; Jonathan Becker; Peter R. Schreiner. The Enantioselective Dakin-West Reaction. Angewandte Chemie International Edition. 2016, s. 2719–2723. doi:10.1002/anie.201509863. PMID 26804727.
- ↑ Richard H. Wiley; O. H. Borum. 3-Acetamido-2-butanone. Organic Syntheses. 1953. doi:10.15227/orgsyn.033.0001.
- ↑ Gerhard Höfle; Wolfgang Steglich; Helmut Vorbrüggen. 4-Dialkylaminopyridines as Highly Active Acylation Catalysts [New synthetic method (25)]. Angewandte Chemie International Edition in English. 1978, s. 569–583. doi:10.1002/anie.197805691.
- ↑ Rudolf Knorr; Rolf Huisgen. Zum Mechanismus der Dakin-West-Reaktion, I Die Reaktion von N-Acyl-sek.-aminosäuren mit Acetanhydrid. Chemische Berichte. 1970, s. 2598–2610. doi:10.1002/cber.19701030831. PMID 5448834.
- ↑ Norman L. Allinger; Grace L. Wang; Brian B. Dewhurst. Kinetic and mechanistic studies of the Dakin-West reaction. The Journal of Organic Chemistry. 1974, s. 1730–1735. doi:10.1021/jo00925a029.
- ↑ Khanh-Van Tran; David Bickar. Dakin−West Synthesis of β-Aryl Ketones. The Journal of Organic Chemistry. 2006, s. 6640–6643. doi:10.1021/jo0607966. PMID 16901161.
Související články
- Robinsonova–Gabrielova syntéza - přeměna ketoamidů na oxazoly
Externí odkazy
Obrázky, zvuky či videa k tématu Dakinova–Westova reakce na Wikimedia Commons