DOT (grafický jazyk)
DOT je značkovací jazyk pro textovou definici grafů a jejich zobrazení. Umožňuje definovat například barvu vrcholů a hran. Je používán zejména nástroji ze sady Graphviz, které z něj umí vytvořit obrázky grafů v běžných formátech jako je SVG a PDF, ale jeho podpora je širší. Vznikl ve Bellových laboratořích a AT&T. Jeho syntaxe je založena na céčku a je poměrně chudá. Například přímo v definici grafu lze jen velmi omezeně ovlivnit, jakým způsobem budou ve výsledném grafu rozmístěny jednotlivé uzly. V případě využití Graphvizu nabízí pro složitější grafy každý ze šesti nabízených nástrojů výrazně odlišný výsledek.[1]
Konkurenčním formátem pro definici grafů je GraphML založený na standardu Extensible Markup Language.
Příklady
Neorientovaný graf

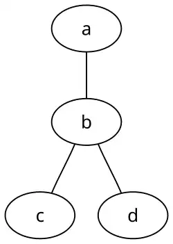
Příkladem definice neorientovaného grafu je následující zdrojový kód:
// jmeno a stredniky jsou nepovinne
graph jmeno {
a -- b -- c;
b -- d;
}
Výsledek zobrazení takto definovaného grafu programem ze souboru Graphviz je na obrázku vpravo. Jak je z ukázky zřejmé, pro vyjádření hrany je používána dvojice spojovníků.
Úprava zobrazení

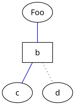
Jak je patrné z následujícího příkladu, je možné nastavit i tvar vrcholů, způsob vykreslování hran (například tečkovanou čarou) a také barvy jednotlivých částí grafu.
graph grafik {
// Vlastnost grafu
size="1,1";
// "label" mění popisek vrcholu
a [label="Foo"];
// "shape" mění tvar vrcholu
b [shape=box];
// vlastnosti lze nastavit i u hran
a -- b -- c [color=blue];
b -- d [style=dotted];
}
Mezi další, v tomto příkladu neilustrované možnosti, například patří využívání různých znaků Unicode a entit HTML v rámci popisků vrcholů a hran.[2]
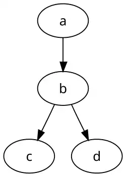
Orientovaný graf

Jak plyne z následujícího příkladu, v orientovaných grafech se pro označení hrany používá spojovník s většítkem:
digraph grafik {
a -> b -> c;
b -> d;
}
Softwarová podpora
Hlavním softwarem podporujícím jazyk DOT je soubor nástrojů Graphviz, který umí z daných definic vytvořit obrazy ve formátu SVG, PDF, PNG a jiných. V rámci programovacího jazyka R nabízí podporu jazyka DOT knihovna DiagrammeR. Přímou editaci grafů v jazyce DOT nabízí vektorový grafický editor Xfig.[3] Jazyk je podporován i vizualizačním nástrojem Gephi a řadou javascriptových knihoven.
Odkazy
Reference
V tomto článku byl použit překlad textu z článku DOT (GraphViz) na německé Wikipedii.
- ↑ TIŠNOVSKÝ, Pavel. Tvorba grafů a diagramů s využitím doménově specifického jazyka nástroje Graphviz (2.část). Root.cz [online]. 2021-06-08. Dostupné online. ISSN 1212-8309.
- ↑ TIŠNOVSKÝ, Pavel. Tvorba grafů a diagramů s využitím doménově specifického jazyka nástroje Graphviz. Root.cz [online]. 2021-06-03. Dostupné online. ISSN 1212-8309.
- ↑ TIŠNOVSKÝ, Pavel. Tvorba grafů a diagramů s využitím doménově specifického jazyka nástroje Graphviz (dokončení). Root.cz [online]. 2021-07-06. Dostupné online. ISSN 1212-8309.
Externí odkazy
Obrázky, zvuky či videa k tématu dot na Wikimedia Commons