Cyklamát
| Cyklamát | |
|---|---|
![]() | |
| Obecné | |
| Systematický název | natrium-cyklohexylsulfamát |
| Sumární vzorec | C₆H₁₂NNaO₃S |
| Identifikace | |
| Registrační číslo CAS | 139-05-9 |
| Vlastnosti | |
| Molární hmotnost | 201,043 559 Da |
| Bezpečnost | |
![]() GHS07 Varování[1] | |
Některá data mohou pocházet z datové položky. | |
Cyklamát (též označovaný jako cyklamát sodný – sodium cyclamate; cyklohexylsulfamát sodný) je umělé náhradní sladidlo bez zápachu. Ve vodném roztoku je asi 30× sladší než cukr (sacharóza)[2]. Ve členských státech EU se cyklamát označuje na výrobcích kódem E952.
Výroba
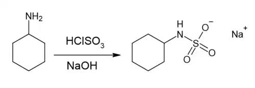
Vyrábí se synteticky reakcí cyklohexylaminu s kyselinou chlorsulfonovou a následnou neutralizací vzniklé kyseliny hydroxidem sodným nebo vápenatým:

Použití
Směs deseti dílů cyklamátu a jednoho dílu sacharinu se běžně používá pro vzájemné vyrušení chuťových dojezdů. Cyklamát je levnější než většina sladidel. Jeho zdravotní nezávadnost je předmětem sporů.
Zákaz používání
V roce 1969 vydala americká agentura Food & Drug Administration (FDA) na cyklamát sodný zákaz používání. Bylo zjištěno, že způsobuje „rakovinné nádory a vrozené vady“.[3] Pro obsah cyklamátu sodného v nápojích Coca-Cola ZERO (konkrétně v těch určených pro Chile, Venezuelu a některé další středoamerické země) byl tento nápoj v červnu 2009 ve Venezuele zakázán.[3] Cyklamát se nachází i v řadě nápojů prodávaných v ČR (např. Coca-Cola ZERO).
Nicméně již v roce 1999 vědci dlouhodobou studií potvrdili, že cyklamát nelze za karcinogen jednoznačně považovat. Po více než 20 let podávali různým druhům opic (21 jedinců) pětkrát týdně cyklamát v dávkách 100 mg/kg a 500 mg/kg.[4] Po této době byly diagnostikovány mírné formy nádorů pouze u 3 opic. Vzhledem k faktu, že podávané dávky překračují minimálně 10x množství obsažené v Coca-Cola ZERO, lze tento nápoj s největší pravděpodobností bez obav konzumovat.
Mezinárodní agentura pro výzkum rakoviny považuje karcinogenitu za neprokázanou a vede cyklamáty jako neklasifikované.[5]
Reference
- ↑ a b Sodium cyclamate. pubchem.ncbi.nlm.nih.gov [online]. PubChem [cit. 2021-05-23]. Dostupné online. (anglicky)
- ↑ SHIBAMOTO, Takayuki; BJELDANES, Leonard F. Food Additives. [s.l.]: Elsevier Dostupné online. ISBN 978-0-08-092577-6. doi:10.1016/b978-0-08-092577-6.50014-9. S. 157–182. (anglicky) DOI: 10.1016/B978-0-08-092577-6.50014-9.
- ↑ a b Venezuela Orders End to Coca-Cola Zero Production
- ↑ Takayama S. et al.: Long-Term Toxicity and Carcinogenicity Study of Cyclamate in Nonhuman Primates
- ↑ https://monographs.iarc.fr/ENG/Monographs/vol73/mono73-12.pdf - Cyclamates
Externí odkazy
Obrázky, zvuky či videa k tématu Cyklamát na Wikimedia Commons

