Cikcak lemma

Cikcak lemma v matematice, zvláště v homologické algebře, postuluje existenci určité dlouhé exaktní posloupnosti v grupách homologií určitých řetězcových komplexů. Výsledek platí v každé Abelova kategorie.

Tvrzení

V abelovské kategorii (např. v kategorii abelovských grup nebo v kategorii vektorových prostorů nad daným tělesem), nechť a jsou řetězcové komplexy, které vyhovují následující krátké exaktní posloupnosti:

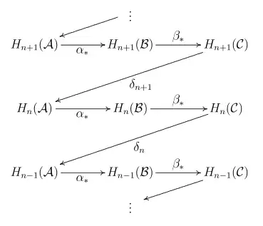
Tato posloupnost je zkratkou následujícího komutativního diagramu:

Komutativním digramem Reprezentace krátké exaktní posloupnosti řetězcových komplexů

kde řádky jsou exaktní posloupnosti a každý sloupec je řetězcový komplex.

Cikcak lemma říká, že existuje kolekce hraničních zobrazení

díky níž je následující posloupnost exaktní:

Dlouhá exaktní posloupnost v homologii, je-li dána by cikcak lemmatem

Zobrazení a jsou obvyklá zobrazení indukovaná homologií. Hraniční zobrazení jsou vysvětlený níže. Jméno lemmatu vychází z „cikcak“ chování zobrazení v posloupnosti. Jiná verze cikcak lemmatu je známa jako „hadí lemma“ (ta vytahuje podstatu důkazu cikcak lemmatu uvedeného níže).

Konstrukce hraničních zobrazení

Zobrazení jsou definovány pomocí standardních argumentů diagramatického nahánění. Nechť reprezentuje třída v , tak . Z exaktnosti řádku vyplývá, že je surjektivní, takže musí existovat nějaké s . Díky komutativitě digramu

z exaktnosti

Díky tomu, protože je injektivní, existuje jediný prvek takový, že . To je cyklus, protože je injektivní a

protože . Tj. . To znamená, že je cyklus, který reprezentuje nějakou třídu v . Nyní můžeme definovat

Jsou-li definována hraniční zobrazení, můžeme ukázat, že jsou dobře definovaná (tj. nezávislá na volbě c a b). Důkaz používá podobné argumenty při diagramatickém nahánění jako výše. Tyto argumenty se také používají, pro důkaz, že posloupnost v homologii je exaktní na každé grupě.

Odkazy

Reference

V tomto článku byl použit překlad textu z článku Zig-zag lemma na anglické Wikipedii.

  • HATCHER, Allen, 2002. Algebraic Topology. [s.l.]: Cambridge University Press. Dostupné online. ISBN 0-521-79540-0. 
  • LANG, Serge, 2002. Algebra. 3., revidované vyd. Svazek 211. New York: Springer-Verlag. (Graduate Texts in Mathematics). ISBN 978-0-387-95385-4. 
  • MUNKRES, James R., 1993. Elements of Algebraic Topology. New York: Westview Press. ISBN 0-201-62728-0. 

Související články

  • Mayerova–Vietorisova posloupnost