Cenová elasticita nabídky

Cenová elasticita nabídky je ekonomický pojem, který vyjadřuje citlivost nabízeného množství určitého statku na jeho cenu. Cenová elasticita nabídky bývá označována jako Price elasticity of supply, PES nebo Es, záleží na jazyce literatury a samotném autorovi.[1]

Koeficient cenové elasticity nabídky

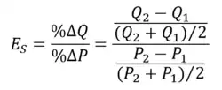
Hodnotu cenové elasticity nabídky u jednotlivých statků lze vypočítat jako podíl procentuální změny nabízeného množství a procentuální změny ceny vybraného statku, níže je uveden celý vzorec pro výpočet.[2]

Elastická a neelastická nabídka

Hodnota Popis
(Es < 1) Neelastická nabídka – procentní změna ceny vyvolá menší procentní změnu nabízeného množství.
(Es = 1) Jednotkově elastická nabídka – procentní změna ceny vyvolá stejnou procentní změnu nabízeného množství.
(Es > 1) Elastická nabídka – procentní změna ceny vyvolá větší procentní změnu nabízeného množství.

Vztah k ceně a poptávce, časový faktor

Při sledování cenové elasticity nabídky a také pro její následné pochopení, je nezbytné uvažovat dva faktory, které je vhodné mít na paměti. Zaprvé, nezkoumáme podrobně důvody, které vedou ke změně v cenách. Můžeme však předpokládat, že zvýšení poptávky vyvolává vyšší ceny.[3]

Zadruhé je nezbytné zahrnout do úvah i časový faktor, který nepochybně ovlivňuje elasticitu nabídky. Reakce nabídky je totiž výrazně ovlivněna dobou, v níž může k reakci nabídky na změnu ceny vůbec dojít. Rozlišení reakce nabídky na změnu poptávky a ceny v různých obdobích zavedl do ekonomie významný anglický ekonom Alfred Marshall.[3]

Vzhledem k uvažovanému faktoru času je nabídka elastičtější v dlouhém období. V krátkém časovém období nejsou firmy schopné zásadně měnit velikosti svých výrobních kapacit, proto nabízené množství není příliš citlivé na změnu ceny. V dlouhém časovém období firmy mohou naopak měnit svoji výrobní kapacitu – otevírat nebo zavírat nové provozy apod. Na daný trh mohou vstoupit noví konkurenti, kteří tak významně rozšíří nabízené množství statku na trhu. Z toho vyplývá, že nabízené množství pak reaguje mnohem citlivěji na změnu ceny statku.[2]

Faktory ovlivňující cenovou elasticitu nabídky

Cena komodity na trhu

Změna ceny komodity na trhu vede obvykle ke změně nabízeného množství. Rozsah změny nabídky závisí na rozsahu změny ceny.

Množství komodity k dispozici

Množství komodity k dispozici představuje objem zboží, které je již připraveno k prodeji ve skladech a na prodejnách. Pokud je na skladech velké množství neprodaného zboží, pak nabídka bude elastická. V případě, že zboží není dostupné, pak nabídka je neelastická.

Rezervy výrobní kapacity

Pokud jsou výrobní faktory plně využity a cena zboží přesto roste, nabídka zůstává stejná. V uvedeném případě je nabídka neelastická, podnik ale nesmí plně využívat své kapacity.

Dostupnost výrobních faktorů

Při dostupnosti variabilních výrobních faktorů je nabídka vysoce elastická. Pokud tyto faktory dostupné nejsou, pak je nabídka neelastická.

Možnost přesunu zdrojů mezi odvětvími

Pokud jsou výrobní prostředky mobilní nebo je snadné je převzít z jednoho odvětví do druhého, pak je nabídka elastická. Pokud přesun zdrojů není možný, nabídka je neelastická.

Možnost substituce

Nabídka je velmi elastická, pokud firma může kombinovat různé úrovně práce a kapitálu pro produkci na určité úrovni výkonu. Jestliže jsou výrobní faktory zaměnitelné, pak je nabídka elastická. Pokud výrobní faktory nelze mezi sebou vzájemně nahrazovat, pak je nabídka neelastická.

Počet firem v odvětví

Čím je počet firem v odvětví vyšší, tím více je nabídka elastická. Se snižujícím se počtem firem v odvětví klesá i elasticita nabídky.[4]

Reference

  1. Cenová elasticita nabídky (PES) - ManagementMania.com. Sociální síť pro business - ManagementMania.com [online]. 2013 [cit. 2016-03-16]. Dostupné z: https://managementmania.com/cs/cenova-elasticita-nabidky-pes
  2. a b MANKIW, N. Zásady ekonomie. Praha: Grada, 1999. Profesionál. ISBN 80-716-9891-1.
  3. a b Učebnice mikroekonomie. EAMOS - výukový systém [online]. 2016 [cit. 2016-03-16]. Dostupné z: http://eamos.pf.jcu.cz/amos/kat_spo/externi/kat_spo_2966/3/kap38.html Archivováno 15. 1. 2013 na Wayback Machine.
  4. Elasticity of supply. What is Economics? A Definition of Economics [online]. 2015 [cit. 2016-03-16]. Dostupné z: http://www.whatiseconomics.org/microeconomics/elasticity-of-supply Archivováno 23. 3. 2016 na Wayback Machine.