Bouveaultova syntéza aldehydů
Bouveaultova syntéza aldehydů (také nazývaná Bouvealtova reakce) je organická reakce, při které je alkyl- nebo arylhalogenidová skupina nahrazena formyl za přítomnosti N,N-disubstituovaného formamidu.[1][2] Objevil ji francouzský chemik Louis Bouveault. Při použití primárních alkylhalogenidů takto vznikají aldehydy, které mají o jeden atom delší uhlíkový řetězec. Z arylhalogenidů se tvoří odpovídající karbaldehydy. Bouveaultova syntéza aldehydů patří mezi formylační reakce.
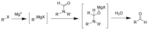
Mechanismus
Bouveaultova syntéza aldehydů začíná přípravou Grignardova činidla. Během adice N,N-disubstituovaného formamidu, jako například dimethylformamidu, vzniká poloaminal, který se poté snadno hydrolyzuje na aldehyd.
Obměny
Místo Grignardových činidel, která obsahují hořčík, lze použít organolithné sloučeniny.[3]
Odkazy
Související články
- Bodrouxova–Čičibabinova syntéza aldehydů
- Bouveaultova–Blancova redukce
- Duffova reakce
Reference
V tomto článku byl použit překlad textu z článku Bouveault aldehyde synthesis na anglické Wikipedii.
- ↑ Louis Bouveault. Modes de formation et de préparation des aldéhydes saturées de la série grasse. Bulletin de la Société Chimique de France. 1904, s. 1306–1322.
- ↑ Louis Bouveault. Nouvelle méthode générale synthétique de préparation des aldéhydes. Bulletin de la Société Chimique de France. 1904, s. 1322–1327.
- ↑ Jie Jack Li. Name Reactions: A Collection of Detailed Reaction Mechanisms. Springer, 2003. ISBN 3-540-40203-9
