Bipyridiny
Bipyridiny, také označované jako bipyridyly, dipyridyly a dipyridiny,[1] jsou skupina organických sloučenin se vzorcem (C5H4N)2, skládajících se ze dvou pyridylových (C5H4N) jader. Bipyridinové skupiny jsou součástmi molekul některých pesticidů.[2]

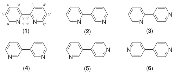
Celkem existuje šest izomerů bipyridinu, dva nejběžnější jsou: 2,2′-bipyridin, často používaný jako ligand, a 4,4′-bipyridin, sloužící jako prekurzor herbicidu paraquatu. Všechny bipyridiny jsou za standardních podmínek bezbarvé pevné látky rozpustné v organických rozpouštědlech a mírně rozpustné ve vodě.
2,2′-Bipyridin
2,2′-Bipyridin (2,2′-bipy) je chelatující ligand, který vytváří komplexy s ionty většiny přechodných kovů. Tyto komplexy se liší svými optickými vlastnostmi a některé mají využití v analytické chemii. Také se používají při výzkumu přenosu elektronů a energie, v supramolekulární a materiálové chemii a v katalýze.
Z 2,2′-bipyridinu se vyrábí herbicid diquat.
4,4′-Bipyridin
4,4′-Bipyridin (4,4′-bipy) se používá převážně na výrobu N,N′-dimethyl-4,4′-bipyridiniového dikationtu, obvykle nazývaného paraquat. Tato sloučenina je redoxně aktivní, její toxicita je způsobena tím, že narušuje biologické procesy zahrnující přenosy elektronů. Vzhledem ke své struktuře může 4,4′-bipyridin tvořit můstky mezi kovovými centry za vzniku koordinačních polymerů.
3,4′-Bipyridin
Deriváty 3,4′-bipyridinu inamrinon a milrinon se někdy používají ke krátkodobé léčbě městnavého selhání srdce. Inhibují fosfodiesterázu, čímž zvyšují koncentraci cyklického adenosinmonofosfátu (cAMP) a vyvolávají vazodilataci. Inamrinon způsobuje trombocytopenii a milrinon snižuje míru přežití při selhání srdce.
Reference
V tomto článku byl použit překlad textu z článku Bipyridine na anglické Wikipedii.
- ↑ Comprehensive Coordination Chemistry II: from Biology to Nanotechnology. Příprava vydání Jon A. McCleverty, Thomas J. Meyer. Amsterdam: Elsevier Pergamon, 2004. ISBN 978-0-08-043748-4. S. 1.
- ↑ SHIMIZU, Shinkichi; WATANABE, Nanao; KATAOKA, Toshiaki. Pyridine and Pyridine Derivatives. Příprava vydání Wiley-VCH Verlag GmbH & Co. KGaA. Weinheim, Germany: Wiley-VCH Verlag GmbH & Co. KGaA Dostupné online. ISBN 978-3-527-30673-2. doi:10.1002/14356007.a22_399. S. a22_399. (anglicky) DOI: 10.1002/14356007.a22_399.