Azobenzen
Azobenzen (difenyldiazen) je chemická sloučenina složená ze dvou fenylových jader spojených N=N dvojnou vazbou. Jedná se o nejznámější příklad azosloučeniny.

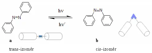
Azobenzény jsou termální reverzibilní fotochromické přepínače T-typu, které se pod vlivem tepla reverzibilně vracejí do jejich původní formy. Fotochromická změna u azobenzenů představuje geometrickou trans-cis isomerii. Obrácením substitucí navázaných na dusíku je spojeno se zánikem vazby. Přítomnost dvojné vazby způsobuje, že tyto látky mohou existovat v prostorovém uspořádání, kde substituenty na dusík spojených dvojnou vazbou se nacházejí na jedné (obr.a) nebo na obou stranách (obr.b) dvojité vazby.
Externí odkazy
Obrázky, zvuky či videa k tématu Azobenzen na Wikimedia Commons