Aromatická sulfonace
Aromatická sulfonace je organická reakce, při níž je vodíkový atom arenu nahrazen funkční skupinou sulfonové kyseliny, patří mezi elektrofilní aromatické substituce. Vzniklé arylsulfonové kyseliny se používají jako detergenty, barviva a léčiva.
Stechometrie a mechanismus

Obvyklým způsobem provedení aromatické sulfonace je zahřívání aromatické sloučeniny s kyselinou sírovou:[1]
- C6H6 + H2SO4 → C6H5SO3H + H2O
Skutečným elektrofilem je při této reakci oxid sírový nebo jeho protonovaný derivát.
K posunu reakční rovnováhy ve prospěch produktů lze použít dehydratační činidlo, jako je například chlorid thionylu.
K aromatické sulfonaci lze využít též kyselinu chlorsírovou:
- C6H6 + HSO3Cl → C6H5SO3H + HCl
Na rozdíl od aromatické nitrace a většiny ostatních elektrofilních aromatických substitucí je tato reakce vratná. K sulfonaci dochází v prostředí koncentrované kyseliny a desulfonaci lze provést v horkém zředěném roztoku kyseliny. Tato vratnost se využívá při syntézách, u kterých je potřeba chránit aromatické jádro. Sulfonové skupiny snižují elektronovou hustotu a ovlivňují tak pozici, kde dojde k další případné substituci.[2]
Specializované metody sulfonace
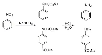
Piriova reakce
Roku 1851 popsal italský chemik Raffaele Piria reakci, při níž nitrobenzen reaguje se hydrogensiřičitanem za vzniku aminosulfonové kyseliny, reakce je kombinací redukce nitroskupiny a sulfonace.[3][4]

Tyrerův sulfonační proces
Při Tyrerově sulfonačním procesu jsou páry benzenu vedeny skrz nádobu obsahující 90% kyselinu sírovou, jejíž teplota se navyšuje ze 100 na 180 °C. Voda a benzen se průběžně odstraňují kondenzací ve zvláštní nádobě a vrstva benzenu se vrací do reakčního prostředí. Výtěžnost tohoto postupu je kolem 80 %.

Reakce
Arylsulfonové kyseliny lze desulfonovat jejich zahříváním ve vodě:
- RC6H4SO3H + H2O → RC6H5 + H2SO4H
Za přítomnosti silných zásad se deriváty kyseliny benzensulfonové přeměňují na fenoly (meziprodukty jsou fenoxidy):
Využití
Sulfonací aromatických sloučenin vznikají aromatické sulfonové kyseliny, které jsou meziprodukty při výrobě řady barviv a léčiv, například sulfonací anilinů vznikají sulfonamidy.

Reference
V tomto článku byl použit překlad textu z článku Aromatic sulfonation na anglické Wikipedii.
- ↑ Otto Lindner, Lars Rodefeld "Benzenesulfonic Acids and Their Derivatives" in Ullmann's Encyclopedia of Industrial Chemistry 2005, Wiley-VCH, Weinheim.doi:10.1002/14356007.a03_507
- ↑ T. W. Graham Solomons: Organic Chemistry, 11th Edition, Wiley, Hoboken, NJ, 2013, p. 676, ISBN 978-1-118-13357-6.
- ↑ PIRIA, Raffaele. Über einige Produkte der Einwirkung des schwefligsäuren Ammoniaks auf Nitronaphtalin. Annalen der Chemie und Pharmacie. 1851, s. 31–68. ISSN 0075-4617. doi:10.1002/jlac.18510780103.
- ↑ THE PIRIA REACTION. I. THE OVER-ALL REACTION W. H. Hunter, Murray M. Sprung J. Am. Chem. Soc., 1931, 53 (4), pp 1432–1443 doi:10.1021/ja01355a037.
- ↑ Siegfried Hauptmann: Organische Chemie, 2nd Edition, VEB Deutscher Verlag für Grundstoffindustrie, Leipzig, 1985, p. 511, ISBN 3-342-00280-8.