Adice halogenu
Adice halogenu je organická reakce, při které se navazuje molekula halogenu na dvojnou vazbu uhlík-uhlík u alkenu.[1]
Obecná rovnice reakce je:
- C=C + X2 → X−C−C−X
(X je brom nebo chlor, rozpouštědlem zde může být CH2Cl2 nebo CCl4). Produktem je vicinální dihalogenid.
Tento druh reakce patří mezi halogenace a elektrofilní adice.
Mechanismus
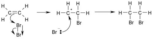
Mechanismus bromace alkenu je popsán níže. V prvním kroku se molekula bromu přiblíží k dvojné vazbě alkenu. Atom bromu nacházející se blíže k vazbě získá částečný kladný náboj a jeho elektrony jsou odštěpeny působením elektronů dvojné vazby.
![]() |
|
| Mechanismus adice bromu na alken | Bromidový ion atakuje C–Br σ* protivazebný molekulový orbital bromoniového iontu |
V tomto okamžiku je atom elektrofilní a je atakován pí elektrony dvojné vazby. Vytváří se vazby sigma na oba uhlíky této vazby. V důsledku velkých rozměrů atomu bromu oproti uhlíkovému může bromidový anion interagovat s oběma uhlíky, přičemž vzniká tříčlenný kruh. Bromidový anion získává kladný formální náboj. V této fázi se vyskytuje bromoniový nebo (při adici chloru) chloroniový ion.
Když první atom bromu atakuje vazbu π mezi uhlíky, tak zde zanechává jeden z elektronů z vazby s dalším bromem v molekule Br2. Tento druhý atom tak získává záporný náboj (jako bromidový anion) a je přitahován slabými kladnými náboji na uhlících. Na jedné straně je odstíněn od nukleofilního ataku prvním atomem bromu a může tak být atakován pouze z druhé strany. Při vytvoření vazby s jedním z uhlíkových atomů vazba mezi prvním atomem bromu a zbylými atomy uhlíku zaniká, čímž na každém uhlíku zůstane halogenový substituent.
Tímto způsobem dochází k anti adici a v době, kdy je alken součástí cyklu, tak dibromid zaujímá trans konfiguraci. K dosažení maximálního překryvu orbitalů C–Br σ* (protivazebného LUMO, vpravo červeně) a volného elektronového páru nukleofilu (X−) (HOMO, vpravo, zeleně), X− musí být bromoniový ion atakován ze zadní strany.
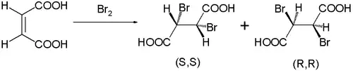
Tento mechanismus navrhli Irving Roberts a George E. Kimball v roce 1937;[2] dokázali tak vysvětlit pozorovanou převahu trans-adicí při bromacích kyseliny maleinové a kyseliny fumarové. Z kyseliny maleinové, která má v molekulách cis-dvojné vazby, vznikala směs enantiomerů:
zatímco u (trans-) kyseliny fumarové vznikal meso produkt:
Reakce je dokonce stereospecifická u alkenů s navázanými dvěma terc-butylovými skupinami v poloze cis, jako například u cis-di-terc-butylethenu.[3]
I přes sterické odpuzování se z chloroniových iontů tvoří pouze anti-adukty.
β-Halogenkarbokationty
U níže zobrazeného alternativního mechanismu je reaktivním meziproduktem β-bromkarbokation, u kterého jeden z atomů uhlíku vytváří karbokation.
U reakcí probíhajících tímto mechanismem se neočekává, a ani nebyla potvrzena, žádná stereospecificita.
Již Roberts a Kimball zjistili, že bromace maleanového aniontu vede k cis-adici řízené odpudivými silami mezi záporně nabitými anionty karboxylových kyselin, jež mají větší vliv než tvorba haloniových iontů. U alkenů jako jsou anetoly a stilbeny substituenty mohou stabilizovat karbokation dodáním elektronů, čímž se omezí role haloniového iontu.[4]
Haloniové ionty lze identifikovat pomocí NMR spektroskopie. V roce 1967 skupina, kterou vedl George A. Olah získala NMR spektra tetramethylethylenbromoniových iontů rozpouštěním 2,3-dibrom-2,3-dimethylbutanu v FSO3H·SbF5 při −60 °C.[5]
Reference
V tomto článku byl použit překlad textu z článku Halogen addition reaction na anglické Wikipedii.
- ↑ Organic chemistry 4th Ed. Morrison & Boyd ISBN 0-205-05838-8
- ↑ Irving Roberts; George E. Kimball. The Halogenation of Ethylenes. Journal of the American Chemical Society. 1937, s. 947. doi:10.1021/ja01284a507.
- ↑ Robert C. Fahey. Polar Additions to Olefins. II. The Chlorination of Di-t-butylethylene. Journal of the American Chemical Society. 1966, s. 4681. doi:10.1021/ja00972a030.
- ↑ Marie Francoise Ruasse. Bromonium ions or β-bromocarbocations in olefin bromination. A kinetic approach to product selectivities. Accounts of Chemical Research. 1990, s. 87. doi:10.1021/ar00171a006.
- ↑ George A. Olah; J. Martin Bollinger. Stable carbonium ions. XLVIII. Halonium ion formation via neighboring halogen participation. Tetramethylethylene halonium ions. Journal of the American Chemical Society. 1967, s. 4744. doi:10.1021/ja00994a031.




