4-hydroxy-TEMPO
| 4-hydroxy-TEMPO | |
|---|---|
![]() Strukturní vzorec | |
![]() Model molekuly | |
| Obecné | |
| Systematický název | (4-hydroxy-2,2,6,6-tetramethylpiperidin-1-yl)oxyl |
| Ostatní názvy | TEMPOL, TMPN |
| Sumární vzorec | C9H18NO2 |
| Vzhled | oranžové krystaly |
| Identifikace | |
| Registrační číslo CAS | 2226-96-2 |
| PubChem | 137994 |
| ChEBI | 180664 |
| SMILES | CC1(C)CC(O)CC(C)(C)N1[O] |
| InChI | InChI=1S/C9H18NO2/c1-8(2)5-7(11)6-9(3,4)10(8)12/h7,11H,5-6H2,1-4H3 |
| Vlastnosti | |
| Molární hmotnost | 172,24 g/mol |
| Teplota tání | 71,5 °C (344,6 K)[1] |
| Rozpustnost ve vodě | 2,86 g/100 ml[1] |
| Rozpustnost v nepolárních rozpouštědlech | rozpustné v diethyletheru a benzenu[1] |
| Tlak páry | 1,37×10−5 Pa[1] |
| Bezpečnost | |
![]() GHS07 | |
Některá data mohou pocházet z datové položky. | |
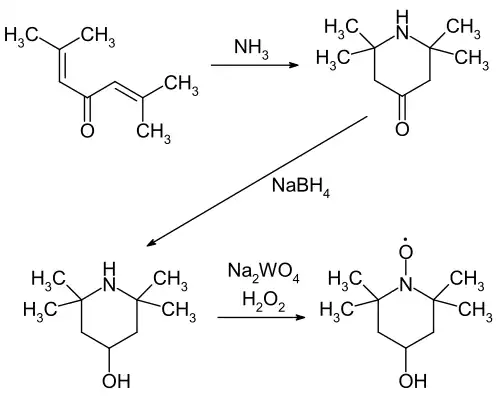
4-hydroxy-TEMPO, jinak nazývané TEMPOL (systematický název (4-hydroxy-2,2,6,6-tetramethylpiperidin-1-yl)oxyl) je organická sloučenina patřící mezi piperidiny a stabilní aminoxylové radikály. Jako i podobná sloučenina TEMPO se používá jako katalyzátor a oxidační činidlo; oproti němu je méně nákladné. Připravuje se z triacetonaminu, získávaného kondenzací acetonu s amoniakem.
Nízké náklady činí z této sloučeniny látku vhodnou pro průmysl.[2]

V biochemickém výzkumu má 4-hydroxy-TEMPO možné využití jako zachytávač reaktivních forem kyslíku. Katalyzuje disproporcionace superoxidů, usnadňuje metabolismus peroxidu vodíku a inhibuje fentonovské reakce.[3]
4-hydroxy-TEMPO a podobné nitroxidy jsou zkoumány jako možné antioxidanty.[4]
V průmyslu má 4-hydroxy-TEMPO využití jako složka stabilizátorů aminů, což jsou časté stabilizační přísady do plastů; také slouží jako inhibitor polymerizace, například v přečišťování styrenu.
Reference
V tomto článku byl použit překlad textu z článku 4-Hydroxy-TEMPO na anglické Wikipedii.
- ↑ a b c d https://pubchem.ncbi.nlm.nih.gov/compound/137994
- ↑ R. Ciriminna; M. Pagliaro. Industrial Oxidations with Organocatalyst TEMPO and Its Derivatives. Organic Process Research & Development. 2010, s. 245–251. doi:10.1021/op900059x.
- ↑ C. S. Wilcox; A. Pearlman. Chemistry and Antihypertensive Effects of Tempol and Other Nitroxides. Pharmacological Reviews. 2008, s. 418–469. doi:10.1124/pr.108.000240. PMID 19112152.
- ↑ M. Lewandowski; K. Gwozdzinski. Nitroxides as Antioxidants and Anticancer Drugs. International Journal of Molecular Sciences. 2017, s. 2490. doi:10.3390/ijms18112490.
Externí odkazy
Obrázky, zvuky či videa k tématu 4-hydroxy-TEMPO na Wikimedia Commons


