1,4-dioxan
| 1,4-dioxan | |
|---|---|
![]() Strukturní vzorec | |
![]() Prostorový model | |
| Obecné | |
| Systematický název | 1,4-dioxan, 1,4-dioxacyklohexan |
| Sumární vzorec | C4H8O2 |
| Vzhled | bezbarvá kapalina s éterickým zápachem |
| Identifikace | |
| Registrační číslo CAS | 123-91-1 |
| EC-no (EINECS/ELINCS/NLP) | 204-661-8 |
| Indexové číslo | 603-024-00-5 |
| Vlastnosti | |
| Molární hmotnost | 88,106 32 g/mol |
| Teplota tání | 11,8 °C |
| Teplota varu | 101,5 °C |
| Hustota | 1,033 g/cm³ (20 °C) |
| Rozpustnost ve vodě | neomezeně mísitelný |
| Bezpečnost | |
![]() GHS02 ![]() GHS07 ![]() GHS08 Nebezpečí[1] | |
| H-věty | H225 H351 H319 H335 EUH019 EUH066 |
| R-věty | R11 R19 R36/37 R40 R66 |
| S-věty | (S2) S9 S16 S36/37 S46 |
Některá data mohou pocházet z datové položky. | |
1,4-Dioxan (též diethylendioxid nebo p-dioxan) je bezbarvá těkavá kapalina, slabě éterického zápachu. Po chemické stránce je to heterocyklická sloučenina s jedním šestičlenným kruhem, obsahujícím dva kyslíkové atomy. Může být však považován též za cyklický ether.
Od jeho struktury jsou mj. odvozeny sloučeniny, souhrnně označované jako dioxiny, patřící k nebezpečným látkám znečišťujícím přírodní prostředí.
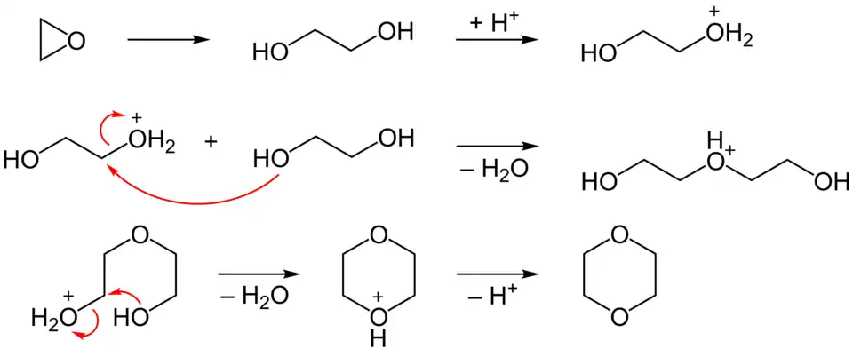
Vznik
Vzniká např. dimerizací ethylenoxidu v kyselém prostředí za přítomnosti vody
Reakce probíhá dvoustupňově, meziproduktem je ethylenglykol:
Vlastnosti
Látka je neomezeně mísitelná s vodou. Je rozpustná jak v polárních organických rozpouštědlech (např. v ethanolu), tak v nepolárních (např. v benzenu). Je silně hořlavá, její páry ve směsi se vzduchem jsou výbušné v rozmezí koncentrací 2 až 22 %.
Při dlouhodobém styku s vzdušným kyslíkem mohou vznikat peroxidické deriváty dioxanu, které jsou za určitých podmínek náchylné k explozím. Postupně se oxiduje, zejména za současného působení slunečního záření, až na oxid uhelnatý.
Použití
Používá se především v laboratoří a v chemické výrobě jako rozpouštědlo. Kromě toho bývá používán jako ředidlo v lacích a jiných nátěrových hmotách, v tmelech a lepidlech a jako stabilizační přísada k prostředkům pro chemické čištění oděvů (např. k 1,1,1-trichlorethanu). Používá se též v biologii a v lékařství při přípravě vzorků pro mikroskopické zkoumání.
Ultračistý 1,4-dioxan je používán též jako náplň scintilačních detektorů ionizujícího záření.
Zdravotní účinky
1,4-Dioxan se při vdechování nebo požití velmi rychle vstřebává, vstřebávání kůží je však relativně pomalé. Metabolizuje se především na kyselinu beta-hydroxyethoxyoctovou, která je následně rychle vyloučena. Experimenty na potkanech ukázaly, že se eliminace 1,4-dioxanu a jeho metabolitů se zvyšováním dávky zpomaluje, což ukazuje na nasycení metabolismu látky.[2]
U vzorku exponovaných pracovníků se neprojevily žádné klinické projevy ani změna mortality. U potkanů 1,4-dioxan způsobuje degenerativní a nekrotické změny na játrech a ledvinách. Vysoké dávky zvyšují hladinu jaterního cytochromu P450. Reprodukční toxicita nebyla u potkanů prokázána.[2]
Při malé studii, kdy se zkoumal vliv expozice nízkým koncentracím 1,4-dioxanu na zdraví pracovníků, nebyla zaznamenána zvýšená úmrtnost na nádorová onemocnění. U zvířat se však karcinogenita prokázala. U myší se projevuje zvýšený výskyt hepatocelulárního adenomu a karcinomu, u potkanů nádorů nosní dutiny, jater, podkožní tkáně, prsních žláz a pobřišnice, u morčat nádorů jater a žlučníku. U potkanů se zvýšení výskytu nádorů neprojevilo při inhalační expozici. U myší zvyšovalo vstřikování 1,4-dioxanu do pobřišnice incidenci nádorů plic, toto se však neprojevilo při orální cestě expozice.[2]
IARC klasifikuje 1,4-dioxan jako možný karcinogen pro člověka (skupina 2B).[2]
Související články
Reference
- ↑ a b Dioxane. pubchem.ncbi.nlm.nih.gov [online]. PubChem [cit. 2021-05-23]. Dostupné online. (anglicky)
- ↑ a b c d 1,4-Dioxane - IARC Summary & Evaluation
Externí odkazy
Obrázky, zvuky či videa k tématu 1,4-dioxan na Wikimedia Commons - (anglicky)1,4-Dioxane CAS No. 123-91-1 dokument ve formátu PDF




