Částečná syntéza
Částečná syntéza je druh chemické syntézy, při kterém se jako výchozí látky používají sloučeniny získané z přirozených zdrojů (jako jsou buněčné kultury a rostliny) k tvorbě nových sloučenin s odlišnými chemickými a medicínskými vlastnostmi. Tyto výchozí sloučeniny se obvykle, oproti výchozím látkám pro totální syntézy, vyznačují vysokými molárními hmotnostmi nebo složitou strukturou. Těmito postupy lze řadu léčiv vyrobit s menšími náklady než při totálních syntézách, protože se skládají z menšího počtu kroků.
Přehled


Léčiva z přírodních zdrojů se často vyrábějí izolováním z přírodního zdroje nebo částečnou syntézou z jiných izolovaných látek. Z hlediska chemické syntézy jsou živé organismy schopny biosynteticky vytvořit strukturně složité sloučeniny. Umělá syntéza je jednodušší, s menší rozmanitostí u každé reakce, takže velmi rozmanité biosyntetické dráhy mohou vytvořit širší spektrum produktů.
Některé funkční skupiny, jako acetyly, se uměle vytvářejí jednodušeji než jiné. Biosynteticky často vznikají skupiny, jejichž tvorba totální syntézou by byla příliš neefektivní.
Při výrobě léčiv se částečnou syntézou vytvářejí požadované sloučeniny pozměňováním různých skupin, které mohou například ovlivňovat vedlejší účinky nebo biodostupnost, a to v malém počtu kroků. Částečná syntéza se tak liší od totální, kde se požadované molekuly vytvářejí z jednoduchých a levných výchozích materiálů.[3]
Hranice mezi částečnou a totální syntézou není ostrá, mnoho prekurzorů obsahujících složité nebo málo odolné funkční skupiny se však z organismů získávají s menšími náklady, než při tvorbě z jednoduchých prekurzorů. Částečná syntéza se tak využívá, pokud má potřebný prekurzor příliš složitou strukturu, jeho příprava je příliš nákladná, nebo příliš složitá na totální syntézu.
Jako příklady praktického využití částečných syntéz mohou sloužit izolace antibiotika chlortetracyklinu a následné částečné syntézy dalších antibiotik tetracyklinu, doxycyklinu a tigecyklinu.[4][5]
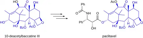
Dalšími příklady jsou syntéza protinádorového léku taxolu z 10-deacetylbaccatinu izolovaného z jehličí tisu červeného (Taxus baccata),[1] LSD z ergotaminu a antimalarika artemetheru z artemisininu.[2]
S pokroky v chemické syntéze se mohou některé postupy stát levnějšími a/nebo snazšími a použití částečné syntézy méně výhodným.[3]
Odkazy
Související články
- Vývoj léčiv
Reference
V tomto článku byl použit překlad textu z článku Semisynthesis na anglické Wikipedii.
- ↑ a b Jordan Goodman; Vivien Walsh. The Story of Taxol: Nature and Politics in the Pursuit of an Anti-Cancer Drug. [s.l.]: Cambridge University Press, 2001-03-05. Dostupné online. doi:isbn = 978-0-521-56123-5. S. 100f.
- ↑ a b M. Boehm; P. C. Fuenfschilling; M. Krieger; E. Kuesters; F. Struber. An Improved Manufacturing Process for the Antimalaria Drug Coartem. Part I. Organic Process Research & Development. 2007, s. 336–340. doi:10.1021/op0602425.
- ↑ a b Welcome to Chemistry World [online]. [cit. 2022-02-18]. Dostupné v archivu pořízeném dne 2019-09-23.
- ↑ M. L. Nelson; S. B. Levy. The History of the Tetracyclines. Annals of the New York Academy of Sciences. 2011, s. 17–32. doi:10.1111/j.1749-6632.2011.06354.x. PMID 22191524. Bibcode 2011NYASA1241...17N.
- ↑ F. Liu; A. G. Myers. Development of a Platform for the Discovery and Practical Synthesis of New Tetracycline Antibiotics. Current Opinion in Chemical Biology. 2016, s. 48–57. Dostupné v archivu pořízeném dne 2021-11-30. doi:10.1016/j.cbpa.2016.03.011. PMID 27043373.